مقایسه عملکرد شیرهای فشارشکن پلیمری منتخب
جدول نتایج آزمایشهای انجام شده
| نوع شیر | آزمایش | فشار ورودی (psi) | فشار خروجی (psi) | افت فشار (psi) | نسبت کاهش فشار (%) |
|---|---|---|---|---|---|
| شیر فشارشکن پلیمری ساده مدل 2 (PRV-SM2) | 1 | 41 | 29 | 12 | 29.27 |
| 2 | 59 | 39 | 20 | 33.90 | |
| 3 | 48 | 33 | 15 | 31.25 | |
| 4 | 47 | 32 | 15 | 31.91 | |
| شیر فشارشکن پلیمری پیشرفته مدل 2 (PRV-AM2) | 1 | 49 | 16 | 33 | 67.35 |
| 2 | 46 | 15 | 31 | 67.39 | |
| 3 | 41 | 15 | 26 | 63.41 | |
| 4 | 45 | 15 | 30 | 66.67 |
جدول خلاصه نتایج
| نوع شیر | میانگین افت فشار (psi) | میانگین نسبت کاهش فشار (%) | انحراف معیار فشار خروجی (psi) |
|---|---|---|---|
| شیر فشارشکن پلیمری ساده مدل 2 (PRV-SM2) | 15.50 | 31.58 | 3.63 |
| شیر فشارشکن پلیمری پیشرفته مدل 2 (PRV-AM2) | 30.00 | 66.20 | 0.43 |
نمودار مقایسه نسبت کاهش فشار (راندمان کنترل فشار)
نمودار مقایسه افت فشار
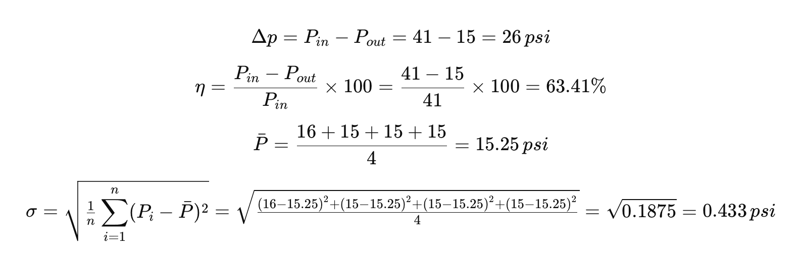
نمونه محاسبه - آزمایش شیر فشارشکن پیشرفته مدل دوم
- فشار ورودی: 41psi
- فشار خروجی: 15psi
محاسبات:

تحلیل و مقایسه شیرهای فشارشکن منتخب با شیرهای فشارشکن موجود
| مدل شیر | مکانیزم | جنس بدنه | حداکثر فشار ورودی (Psi/bar) | فشار خروجی (روش تنظیم) | راندمان کاهش فشار (%) | انحراف معیار (پایداری) | قیمت تقریبی (USD) | محدوده عملکرد + سطح کاربرد |
|---|---|---|---|---|---|---|---|---|
| شیر فشارشکن ساده مدل 2 (PRV-SM2) | مستقیم ساده | UPVC/PVC | 72-116 / 5-8 | پیش تنظیم | 20–35% | پایداری کم و متغیر | $5–$10 | مصارف خانگی، سبک، غیر حساس، قسمت های آبیاری، باغ و باغچه |
| شیر فشارشکن پیشرفته مدل 2 (PRV-AM2) | مستقیم در پوشی | UPVC/PVC | 72-116 / 5-8 | قابل تنظیم | 55–70% | بسیار پایدار (<5psi) | $10–$20 | خانگی، خطوط انتقال اصلی آب، مزارع و کشاورزی |
| شیر فشارشکن پیشرفته مدل 2 بهبود یافته (+PRV-AM2) | مستقیم در پوشی | UPVC فشار قوی | 232 / 16 | قابل تنظیم | 60–75% | بسیار پایدار | $25–$40 | صنعتی سبک، شبکه های اصلی، مسکونی، شبکه های توزیع آب، مزارع و کشاورزی |
| Watts LF25AUB-Z3 | مستقیم دیافراگمی | آلیاژ مس سیلیکون بدون سرب | 300 / 20.7 | قابل تنظیم | 45–70% | پایدار | $150–$250 | تأسیسات آب بهداشتی و ساختمانی، سیستم های گرمایشی و سرمایشی |
| Apollo 3610401 – 35 Series | مستقیم پیستونی | برنز (Bronze) | 300 / 20.7 | قابل تنظیم | 40–70% | پایدار | $300–$400 | صنعتی، شهری، خطوط توزیع آب و حفاظت تجهیزات ساختمان |
| GF Type 582 - 1″ PVCsocket (EPDM) | مستقیم دیافراگمی | PVC-U+ EPDM | 150-218 / 10-15 | قابل تنظیم | 50–60% | بسیار پایدار | $800–$1500 | آزمایشگاهی، صنعتی سبک، فرآیندهای شیمیایی آب خالص و نیمه رسانا |
| NeoFlow PRV (GF) | پایلوت در خارجی | POM-C متریال پلیمری GF | 232 / 16 | قابل تنظیم (پایلوتی) | 55–70% | بسیار پایدار | $1000–$2000 | صنعتی بزرگ، شبکه های توزیع شهری، خطوط توزیع آب، مدیریت فشار |
بالاترین راندمان
شیر فشارشکن پیشرفته مدل 2 بهبود یافته (+PRV-AM2)60–75%
شیر فشارشکن پیشرفته مدل 2 (PRV-AM2)55–70%
NeoFlow PRV (GF)55–70%
بالاترین فشار
Watts LF25AUB-Z3300 psi
Apollo 3610401 – 35 Series300 psi
شیر فشارشکن پیشرفته مدل 2 بهبود یافته (+PRV-AM2)232 psi
بهترین قیمت
شیر فشارشکن ساده مدل 2 (PRV-SM2)$5–$10
شیر فشارشکن پیشرفته مدل 2 (PRV-AM2)$10–$20
شیر فشارشکن پیشرفته مدل 2 بهبود یافته (+PRV-AM2)$25–$40
راهنمای رنگها
شیر فشارشکن ساده مدل 2 (PRV-SM2)
شیر فشارشکن پیشرفته مدل 2 (PRV-AM2)
شیر فشارشکن پیشرفته مدل 2 بهبود یافته (+PRV-AM2)
Watts LF25AUB-Z3
Apollo 3610401 – 35 Series
GF Type 582 - 1″ PVCsocket (EPDM)
NeoFlow PRV (GF)